国家统计局:11月份商品住宅销售价格环比总体延续降势
扫描到手机,新闻随时看
扫一扫,用手机看文章
更加方便分享给朋友
中新网12月15日电 国家统计局15日公布2022年11月份商品住宅销售价格变动情况统计数据显示,11月份商品住宅销售价格环比总体延续降势。
国家统计局城市司首席统计师绳国庆解读时指出,11月份,各线城市商品住宅销售价格环比下降,一线城市同比涨幅回落、二三线城市同比降势趋缓。
截图自国家统计局网站
一线城市商品住宅销售价格环比降幅略扩,二三线城市环比降幅收窄或与上月相同
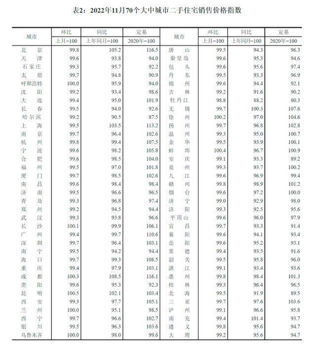
11月份,70个大中城市中,新建商品住宅销售价格环比下降城市有51个,比上月减少7个;二手住宅销售价格环比下降城市有62个,个数与上月相同。
11月份,一线城市新建商品住宅和二手住宅销售价格环比分别下降0.2%和0.4%,降幅比上月均扩大0.1个百分点。二线城市新建商品住宅和二手住宅销售价格环比分别下降0.2%和0.4%,降幅比上月均收窄0.1个百分点。三线城市新建商品住宅销售价格环比下降0.3%,降幅比上月收窄0.1个百分点;二手住宅销售价格环比下降0.5%,降幅与上月相同。
截图自国家统计局网站
一线城市商品住宅销售价格同比涨幅回落,二三线城市同比降势趋缓
11月份,70个大中城市中,新建商品住宅和二手住宅销售价格同比下降城市分别有51个和64个,个数均与上月相同。
11月份,一线城市新建商品住宅和二手住宅销售价格同比分别上涨2.5%和1.2%,涨幅比上月均回落0.1个百分点。二线城市新建商品住宅销售价格同比下降1.2%,降幅比上月收窄0.1个百分点;二手住宅销售价格同比下降3.2%,降幅与上月相同。三线城市新建商品住宅销售价格同比下降3.9%,降幅与上月相同;二手住宅销售价格同比下降4.8%,降幅比上月扩大0.1个百分点。(中新财经)
文章转载自:央广网
声明:本文由入驻焦点开放平台的作者撰写,除焦点官方账号外,观点仅代表作者本人,不代表焦点立场。
